Il rover marziano ha trovato qualcosa di strano fra le dune di marte. Composti organici forse derivanti da qualche forma di vita.

La scoperta è stata pubblicata su Astrobiology da Dirk Schulze-Makuch, ricercatore dell’Università di Washington. Si tratterebbe di tiofeni, composti organici presenti nel carbone fino ai tartufi bianchi
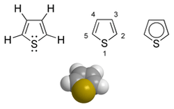
Di cosa si tratta ?
I tiofeni sono composti formati da carbonio e zolfo, elementi necessari alla vita. Il carbonio va a formare con lo zolfo numerosi composti che assieme concorrono al sostentamento della vita. Infatti è risaputo che i terreni con forte attività sismologica, quindi con numerosi vulcani e molto zolfo, siano terreni estremamente fertili, esempi? L’Italia, Le Hawaii, L’Indonesia. Tutte che più o meno forti attività vulcaniche, che di conseguenza rifornisce la terra di zolfo vulcanico, e una volta assorbito dalla vegetazione ne favorisce la crescita. Ora, quel che sappiamo per certo è che su Marte non ci sono né palme, né fragole, altrimenti ci saremmo già andati, ma sappiamo anche che la possibilità che su Marte ci SIA STATA la vita, sarebbe fortemente influenzata dalla presenza di questi composti.
Parliamo di Marte
Piccolo, rosso, freddo e caldo a seconda di quale lato è toccato dal sole. Eppure è un pianeta con tutte le carte in regola per essere stato un pianeta abitato. Non sappiamo se da animali, piante o batteri, forse da nessuno, ma l’acqua da poco scoperta, assieme a traccie di composti organici, potrebbero svelarci la risposta. A modo suo Marte è un piccolo gioiello, ha per l’appunto acqua, e risorse minerarie, un obbiettivo appetibile per qualcuno. Un pianeta con acqua e risorse non poteva passare inosservato, ed è qui che è iniziata la corsa ai razzi migliori fra stati e multinazionali, quali SpaceX e Blue Origin, mettendo a confronto personalità quali Elon Musk, e Jeff Bezos. Sembra che nei prossimi 10 anni la corsa al razzo permetterà, oltre ad arrivare su marte, anche alla possibilità di volare da NYC fino a Tokyo in poco più di un’ora. Appare dunque evidente la portata degli effetti che la conferma di una simile scoperta potrebbe portare. Sarebbe Assurdo !

Il gatto di Schrodinger
Così come nel gatto di Schrodinger, non possiamo sapere la verità, finché non apriamo la scatola, e sembra che la scatola verrà aperta molto presto in seguito all’annuncio del lancio del Rosalind Franklin, il rover dell’ESA che con strumentazioni molto più precise ed adatte, potrà fornire ai ricercatori molte più informazioni. Tuttavia non possiamo gridare alla vita. I tiofeni possono formarsi perfino con l’impatto di meteoriti con il suolo marziano, riscaldando il punto impattante oltre i 140°C, e fornendo energia necessaria alle reazioni di carbonio e zolfo. Di recente è stata scoperta la prima proteina extraterrestre, in un meteorite, dunque la presenza di composti organici fondamentali alla vita sia relativamente, molto diffusa. Resta dunque da scoprire quale sarà la prossima determinante scoperta che le strumentazioni spaziali di porteranno, e di come la comunità scientifica deciderà di muoversi, confidando sempre nella cooperazione fra le varie parti.