Meteore veloci (quasi) quanto la luce ci raggiungono ogni giorno, invisibili ai telescopi e nati dalle stelle

Uno studio condotto dall’Università di Harvard ha puntato i riflettori su minuscoli meteoriti che viaggiano a velocità relativistiche.

Entrano nella nostra atmosfera prima ancora di riuscire a “fotografarle”, bombardandoci secondo le stime attuali almeno una volta al mese. La loro origine sarebbe dovuta alle esplosioni delle supernove.

Bombardamento spaziale

La scoperta è dovuta a Amir Siraj e Abraham Loeb, astronomi della Harvard University, Il loro studio ha come soggetto l’incessante pioggia di meteoriti che quotidianamente bombarda il nostro pianeta. In particolare il loro lavoro si concentra su quei minuscoli meteoriti, di diametro stimato non superiore ai 10 cm, che arrivano sul nostro pianeta con velocità sub relativistiche, ovvero con proprietà di movimento tali per cui la meccanica classica, applicata ad esempio al moto dei pianeti, o alle comunissime auto,inizia a vacillare. Sostanzialmente queste minuscole meteore nascono dalle violente esplosioni stellari, chiamate supernove, numerose nella nostra galassia e che “sparano” via minuscoli ammassi di pulviscolo stellare, facendogli attraversare distanze sconfinate in un tempo record. Sfortunatamente la grandezza e la velocità di questi fenomeni richiedono grande precisione per permettere ai ricercatori uno studio approfondito, dovendo quindi aspettare ulteriori miglioramenti delle apparecchiature.

La relatività

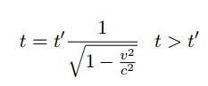
Come detto in precedenza queste meteore hanno dimensioni microscopiche e velocità relativistiche, ma dunque viaggiano veloci tanto quanto la luce ? Assolutamente no, è chiaro, altrimenti quasi un secolo di modelli fisici andrebbero buttati nel cassonetto. Infatti secondo la relatività di Einstein, nessuna informazione può viaggiare più velocemente della luce, questo perché un corpo dotato di massa, per raggiungere una velocità anche solo pari a quella della luce, avrebbe bisogno di energia infinita. Tuttavia esistono fenomeni, come appunto questi meteoriti, che riescono grazie alle violenti e mastodontiche supernove, a raggiungere velocità estremamente elevate, non uguali a quelle della luce, ma sufficienti a modificarne i comportamenti dal punto di vista di chi le osserva, cioè noi. Innanzitutto un corpo con velocità relativistiche ha una lunghezza, parallela al verso del suo movimento, più corta. Se un treno lungo 100 metri viaggiasse con velocità pari a metà di quella della luce, risulterebbe lungo circa 86 metri, per noi osservatori. Anche il tempo viene modificato dalle alte velocità dilatandosi. Per un passeggero a bordo del treno dell’esempio precedente, il tempo trascorrerà esattamente allo stesso modo, ma dopo 10 anni nel treno, quando scenderà, scoprirà che ne sono passati 11 e mezzo nel resto del mondo.

Contrazione delle Lunghezze
Contrazione delle Lunghezze
dilatazione dei tempi
Dilatazione del tempo

Il taxi spaziale

La scoperta di questi super-meteoriti è importante per numerose ragioni, molte delle quali perfettamente comprensibili solamente in ambito accademico. Tuttavia il solo fatto che oggetti cosi particolari esistano e ci raggiungano periodicamente, ha dell’incredibile. Potrebbero spiegarci meglio le origini delle stelle e delle loro esplosioni, oltre a portarci importante informazioni dal punto di vista chimico, in quanto proprio la dilatazione del tempo a cui sono soggetti potrebbe aver garantito la preservazione di determinati composti che altrimenti non avrebbero retto il lungo viaggio (anche gli atomi “invecchiano”). Ultimo ma non meno importante, questa scoperta potrebbe spiegarci quanto realmente il cosmo sia interconnesso, con meteoriti che spostandosi da un punto all’altro della galassia, potrebbero portare con loro non solo metalli e sostanze chimiche, ma anche vita.

 

Lascia un commento